日前,中科院重庆研究院水库生态学研究中心团队在水库消落带土壤结构演变与界面物质循环研究中取得新进展,成果发表在《Soil & Tillage Research》、《CATENA》、《Science of the Total Environment》、《Microbial Ecology》、《生态学报》、《土壤》等国内外相关研究领域的经典刊物。
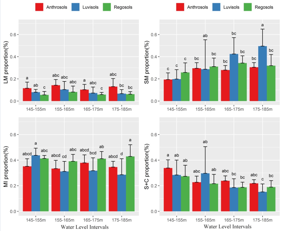
土壤是陆地生态系统的基底,而团聚体是土壤结构和功能的基本单元,其形成与稳定是土壤提供生态系统服务的物质基础。土壤团聚体的稳定性易受耕种、干湿交替等自然和人为活动的影响。三峡水库自2010年正式蓄水至175 m以来,在“夏落冬涨”的反季节水位调度模式下,形成了垂直落差高达30 m、我国面积最大的水库消落带。周期性“冬水夏陆”的干湿交替,必然导致消落带土壤结构和物质循环过程发生重大改变,然而团聚体具有怎样的稳定特征,土气界面物质循环过程及其主导机制均不清楚。
近年来,中科院重庆研究院水库生态学研究中心团队针对上述科学问题,通过长时间序列大范围采样分析与原位观测,系统研究了三峡水库消落带土壤团聚体稳定性的空间分异规律与关键驱动机制,以及土气界面主要生源物质通量与主导因素,在土壤结构演变与界面物质循环研究方面取得了一些新的认识:① 淹水强度是导致表层土壤团聚体粒径分布和稳定性差异的决定性因素,随着淹水时间增加大团聚体崩解尤为明显,土壤结构稳定性降低;② 土壤类型及其性状是影响土壤结构稳定性的主要因素,黏粒、有机碳等含量是水库消落带土壤结构分异的主要驱动因子;③ 不同淹水强度下土壤呼吸与土气界面主要温室气体排放通量差异并不显著,其主要驱动因素是微生物群落结构、土壤含水量和温度,同时人为活动也是导致消落带土壤结构演变与界面物质循环演化的重要影响因素。该结果初步揭示了水位波动与人为活动对三峡水库消落带土壤结构演变与界面物质循环的影响机制,对于进一步认识干湿交替下土壤团聚体形成与稳定、物质循环过程等具有重要理论价值,同时也可为大型水库消落带植被恢复与生态重建,以及水土流失防治等实践提供理论支撑。
上述工作得到国家重点研发计划(2018YFD0800600)、国家自然科学基金(41771266 ;41701247;41401243;41303053)、中国科学院青年创新促进会(2017391)、国家重点实验室开放基金(Y812000005;Y412201401),重庆市基础与前沿项目(cstc2017shmszdyfX0074;cstc2013jcyjA0302)及重庆市社会事业与民生保障重点项目(cstc2017shms-zdyf0331)等联合资助,以及开州区人民政府在基地建设、科研设施等方面的大力支持。
主要论文链接:
1. https://doi.org/10.1016/j.catena.2020.104815
2. https://doi.org/10.1016/j.still.2019.104522
3. https://doi.org/10.1016/j.ecoleng.2019.105664
4. https://doi.org/10.1007/s11368-019-02410-7
5. http://doi.org/10.7717/peerj.8503
6. https://doi.org/10.1016/j.scitotenv.2019.134184
7. https://doi.org/10.1007/s00248-018-1183-3
8. http://soils.issas.ac.cn/tr/ch/reader/view_abstract.aspx?file_no=tr201706200287&flag=1
9. https://link.springer.com/article/10.1007/s00253-015-7083-2
10.http://yangtzebasin.whlib.ac.cn/CN/10.11870/cjlyzyyhj201601020
11.https://link.springer.com/article/10.1007%2Fs11368-016-1485-3
12.http://dx.doi.org/10.5846/stxb201407181464

三峡水库调度影响下岸带样点分布

不同淹水强度下消落带土壤团聚体分异

消落带不同土壤类型下团聚体稳定性分异

消落带土壤呼吸与主要温室气体排放通量
