在全球工业化过程中,人们对农业用地需求逐渐增加,土地利用方式发生剧烈变化,导致大气二氧化碳浓度快速增加,进而引起气温升高等全球性生态环境问题,极端干旱、降雨等事件发生频率增多,给人们的生产生活带来巨大的影响。与碳耦合的氮元素是初级生产力的限制元素,土壤氮在温室气体氮氧化物的形成中起着非常重要的促进作用。氮沉降将导致土壤或水体酸化、富营养化、生物多样性降低和温室气体排放增加等系列生态环境问题。因此,通过合理有效的管理措施削减温室气体排放,减缓全球变化十分重要,也成为世界上众多国家、国际组织积极努力的重要目标之一。森林生态系统是全球主要的碳库,其中森林土壤碳库是地上植被碳库的近3倍。因此,森林土壤碳库潜能在温室气体减排过程中发挥着不可或缺的作用。研究海拔梯度对土壤碳库的影响不仅有助于描述不同海拔的植被模式和营养库,而且有助于研究环境控制对生态系统功能的影响。研究海拔梯度上土地利用方式的变化对土壤有机碳分布及其在不同生态系统中的分异有利于我们深入理解土壤有机碳库对生物、非生物、环境和人为活动的响应。目前,在土壤有机碳随海拔、土地利用、树种、年龄序列等的变化研究方面有大量的报道,为理解土地利用类型和管理措施对土壤有机碳库的影响提供了大量有用的信息,但有关土地利用类型、土地使用年限、海拔和土壤深度等对土壤有机碳和氮的多因素影响研究却较为缺乏。
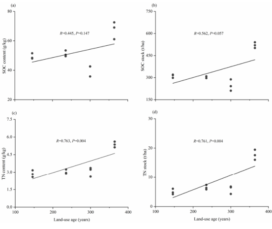
中国科学院成都生物研究所生态过程与生物多样性组来自南苏丹的博士研究生Meta Francis Justine在博士生导师潘开文研究员的指导下,测定了青藏高原东缘四川省九寨沟县4种不同土地利用类型(天然林、人工林、灌丛、草地)下的土壤有机碳和总氮含量,计算了土壤有机碳和氮固存潜力。结果显示:土壤有机碳和总氮储量与土地利用的年限显著相关,与海拔不存在相关性,土地利用类型仅与有机碳储量显著相关,表明土地利用年限是影响土壤有机碳和总氮的决定因素。土壤平均碳固存潜力为289.18 t·ha-1,其中天然林、人工林、灌丛和草地土壤碳固存潜力分别为:345.86 t·ha-1、293.19 t·ha-1、266.45 t·ha-1和251.23 t·ha-1。在天然林向人工林、灌丛和草地转换后,土壤碳损失分别达17.96%、29.80%和37.66%,若将草地恢复为天然林、人工林或灌丛,碳收益将分别增加27.36%、14.31%和5.71%。因此,森林砍伐和天然林转化为其他土地利用类型所损失的碳无法与其后的碳收益相匹配,天然林在生态保护和退化土地修复中更有汇集碳的优势。研究结果表明,保护天然林和恢复森林,尤其是按照天然林的群落结构,修复管理人工林对土壤固存碳库,减少碳排放具有十分重要的作用,这为森林生态系统碳氮管理和可持续经营、碳汇贸易提供了科学依据。
该研究获得国家重点研发计划(2016YFC0502101)、国家自然科学基金(31500517)和CAS-TWAS院长奖学金的资助。近日以“Does Land-use age influence carbon cycling in the Tibetan Plateau?”为题发表于国际学术期刊Journal of Geophysical Research-Biogeosciences。
  
 
高山区人工林和天然林(潘开文摄影)
  
 
4种土地利用类型中土壤碳含量和储量
  
 
土地利用年限与土壤有机碳和总氮含量及储量的相关性
