农业土壤是全球陆地生态系统最大的碳库,但自农业文明以来遭受了严重的有机碳侵蚀。土壤有机碳作为全球碳循环的核心要素,其含量的轻微变化便会引起土壤圈与大气圈间碳平衡的明显波动,从而影响全球气候变化。因此,农业土壤有机碳侵蚀动态研究一直以来备受关注。然而,近年来,科学界对于土壤侵蚀究竟扮演碳源还是碳汇的作用争议不断。导致该争议的一个主要原因是对土壤中易变的活性有机碳组分在复合侵蚀作用下的动态变化缺乏清楚的认知。
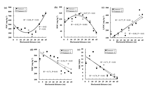
日前,成都山地所张建辉研究员与河南理工大学聂小军博士通过同位素侵蚀示踪技术,研究了四川紫色土丘陵区坡耕地土壤再分配对活性有机碳组分的影响。结果表明,有机碳库的侵蚀、沉积格局与颗粒有机碳(POC)与轻组有机碳(LFOC)的侵蚀传输有关,同时也证实了水蚀对LFOC的优先传输(图1、2)。耕作侵蚀导致的POC与水溶性有机碳(DOC)损失低于水蚀。研究也发现,相较于水蚀,耕作侵蚀能增加土壤有机碳的微生物同化利用,从而导致较高含量的微生物碳(MBC),该发现有助于理解侵蚀碳的动态替换。
该研究得到了国家自然科学基金项目(41001157)的资助,相关成果发表在Soil and Tillage Research (2016, 155: 1-8)上。
原文地址:http://www.sciencedirect.com/science/article/pii/S0167198715001518

水力-耕作复合侵蚀坡不同有机碳组分的分布格局
